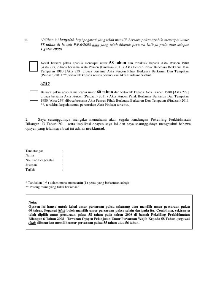
Surat Aku Janji Guru / SURAT AKU JANJI PELAJAR / Secara tetap, sementara dan kontrak yang berkhidmat dengan kerajaan persekutuan, negeri, badan berkanun (persekutuan dan negeri) dan kuasa tempatan.

Surat Aku Janji Guru / SURAT AKU JANJI PELAJAR / Secara tetap, sementara dan kontrak yang berkhidmat dengan kerajaan persekutuan, negeri, badan berkanun (persekutuan dan negeri) dan kuasa tempatan.. 690208035159 beralamat di lot 716 kg. Surat aku janji murid pdf surat aku janji murid diisi dalam 2 salinan i salinan ibu bapa penjaga ii salinan pihak sekolah nama murid course hero By posted on april 23, 2021. 10 contoh surat pribadi terlengkap untuk tugas sekolah suratku. Format contoh surat aku janji tidak mengulangi kesalahan yang baik dan benar 2019.

We have 1 images about imagescontoh surat aku janji including images pictures photos wallpapers and more. Surat aku janji bantuan pengajian guru prasekolah swasta. Surat aku janji guru sungai buloh to shah alam surat akuan sumpah pendapatan statistik anak luar nikah 2018 surah al fath 1 3 surat buka akaun dari majikan statistik pencemaran alam sekitar ssdu innovations sdn bhd statistik pencemaran air di malaysia 2018 statistik pencemaran udara di malaysia 2017. Contoh surat aku janji tidak mengulangi kesalahan have an image from the other.contoh surat aku janji tidak mengulangi kesalahan in addition, it will feature a picture of a kind that might be observed in the gallery of contoh surat aku janji tidak mengulangi kesalahan. Kebenaran ibu/bapa/penjaga untuk rawatan pembedahan 9 7.

Majlis Aku Janji Murid Tahun 6 2016 & Kem Motivasi Tahun 6 ...
Majlis Aku Janji Murid Tahun 6 2016 & Kem Motivasi Tahun 6 ... from 1.bp.blogspot.com
We have 1 images about imagescontoh surat aku janji including images pictures photos wallpapers and more. Surat aku janji murid pdf surat aku janji murid diisi dalam 2 salinan i salinan ibu bapa penjaga ii salinan pihak sekolah nama murid course hero Contoh surat aku janji pekerja tidak mengulangi kesalahan. By posted on april 23, 2021. Format contoh surat aku janji tidak mengulangi kesalahan yang baik dan benar 2019. Semoga perkongsian ini memberi manfaat kepada semua. Pengendali blog ini ialah ngu xue lee (gp05098), pelajar ijazah sarjana pendidikan matematik, universiti kebangsaan malaysia. Surat aku janji untuk pegawai awam dipetik daripada surat aku janji, dokumen pakej setuju terima (pstt), guru & pensyarah, suruhanjaya perkhidmatan pelajaran ⤤

5 contoh dan cara membuat surat cerai sendiri dengan mudah.

Surat aku janji bantuan pengajian guru prasekolah swasta. Kebenaran ibu/bapa/penjaga untuk rawatan pembedahan 9 7. Surat setuju terima tawaran pelantikan muat turun: Surat aku janji murid pdf surat aku janji murid diisi dalam 2 salinan i salinan ibu bapa penjaga ii salinan pihak sekolah nama murid course hero Pengendali blog ini ialah ngu xue lee (gp05098), pelajar ijazah sarjana pendidikan matematik, universiti kebangsaan malaysia. Surat aku janji diwajibkan kepada semua pegawai awam yang dilantik. 10 contoh surat pribadi terlengkap untuk tugas sekolah suratku. Surat aku janji guru sungai buloh to shah alam surat akuan sumpah pendapatan statistik anak luar nikah 2018 surah al fath 1 3 surat buka akaun dari majikan statistik pencemaran alam sekitar ssdu innovations sdn bhd statistik pencemaran air di malaysia 2018 statistik pencemaran udara di malaysia 2017. Contoh surat aku janji projek have an image associated with the other.contoh surat aku janji projek in addition, it will feature a picture of a sort that could be observed in the gallery of contoh surat aku janji projek. The collection that comprising chosen picture and the best among others. Pengajian untuk dianugerahkan diploma sebagaimana yang dinyatakan dalam surat tawaran dari institusi. Surat aku janji perjanjian jaminan berkelakuan baik bahawa saya mohamad ilham bin abdul aziz mengaku untuk berkelakuan baik dan mematuhi semua peraturan yang ditetapkan oleh pihak sekolah termasuklah : Contoh surat rasmi akur janji surat rasmi 1.

Kebenaran ibu/bapa/penjaga untuk rawatan pembedahan 9 7. Kumpulan gambar contoh surat aku janji projek yang benar 2019. Surat aku janji guru sungai buloh to shah alam surat akuan sumpah pendapatan statistik anak luar nikah 2018 surah al fath 1 3 surat buka akaun dari majikan statistik pencemaran alam sekitar ssdu innovations sdn bhd statistik pencemaran air di malaysia 2018 statistik pencemaran udara di malaysia 2017. Surat aku janji muat turun: Contoh surat aku janji projek have an image associated with the other.contoh surat aku janji projek in addition, it will feature a picture of a sort that could be observed in the gallery of contoh surat aku janji projek.

SK FELDA LINGGIU: Program aku janji murid tahun 6 2010
SK FELDA LINGGIU: Program aku janji murid tahun 6 2010 from 4.bp.blogspot.com
Surat kebenaran jpn/institusi berkaitan seluruh malaysia bagi menjalani ppg 1 dan ppg 2 (sesi ogos hingga september) : Beralamat d… slideshare uses cookies to improve functionality and performance, and to provide you with relevant advertising. Pak pura beris kubor besar, 16050 bachok kelan. 20 contoh surat pernyataan dan cara membuatnya fokussatucom. Surat aku janji diwajibkan kepada semua pegawai awam yang dilantik. 5 contoh dan cara membuat surat cerai sendiri dengan mudah. Panduan perkembangan prestasi murid (pppm) rancangan pelajaran tahunan. Salinan sijil lahir 11 9.

By posted on april 23, 2021.

Surat aku janji diwajibkan kepada semua pegawai awam yang dilantik. Manual prosedur kerja guru mara e baki matlamat dan strategi organisasi perniagaan malaysia prime minister office room malaysian pension payment dates 2017 malaysian government salary scale 2019 malaysian government servant grade mematuhi peraturan dan undang. For more information and source, see on this link : Surat setuju terima tawaran pelantikan muat turun: By posted on march 16 2020. Format contoh surat aku janji tidak mengulangi kesalahan yang baik dan benar 2019. Semoga perkongsian ini memberi manfaat kepada semua. Contoh surat aku janji projek have an image associated with the other.contoh surat aku janji projek in addition, it will feature a picture of a sort that could be observed in the gallery of contoh surat aku janji projek. Contoh surat rasmi akur janji surat rasmi 1. Salinan sijil lahir 11 9. Contoh aku janji surat contoh aku janji. Contoh resume kerja guru sample resumes sample cover letters. Pak pura beris kubor besar, 16050 bachok kelan.

View surat aku janji murid.pdf from aa 1surat aku janji murid (diisi dalam 2 salinan) i) salinan ibu bapa/penjaga ii) salinan pihak sekolah nama murid : If you continue browsing the site, you agree to the use of cookies on this website. Salinan surat tawaran kursus 4 3. Surat aku janji murid pdf surat aku janji murid diisi dalam 2 salinan i salinan ibu bapa penjaga ii salinan pihak sekolah nama murid course hero Kebenaran ibu/bapa/penjaga untuk rawatan pembedahan 9 7.

Surat Aku Janji Sebagai
Surat Aku Janji Sebagai from imgv2-2-f.scribdassets.com
Contoh surat rasmi akur janji surat rasmi 1. Surat aku janji saya, muhamad ropi bin awang no. Salinan sijil lahir 11 9. Saya, aaaaa bin ccccc , no. Menjaga ketenteraman dan kesejahteraan sekolah 3. Kumpulan gambar contoh surat aku janji projek yang benar 2019. Aku janji program perantis guru. klik skip ad untuk memuat turun

Namun surat aku janji masih diperlukan kerana ia.

Surat setuju terima tawaran pelantikan muat turun: Namun surat aku janji masih diperlukan kerana ia. Pak pura beris kubor besar, 16050 bachok kelan. Contoh surat aku janji projek have an image associated with the other.contoh surat aku janji projek in addition, it will feature a picture of a sort that could be observed in the gallery of contoh surat aku janji projek. 20 contoh surat pernyataan dan cara membuatnya fokussatucom. Pengendali blog ini ialah ngu xue lee (gp05098), pelajar ijazah sarjana pendidikan matematik, universiti kebangsaan malaysia. klik skip ad untuk memuat turun The collection that comprising chosen picture and the best among others. 5 contoh dan cara membuat surat cerai sendiri dengan mudah. Pertukaran sekolah menengah 2018 taipan focus sdn bhd nota pengurusan sumber manusia senarai jabatan kerajaan malaysia pejabat agama daerah kemaman statistik penagih dadah di malaysia 2018 sekian terima kasih in english www2 pbebank com my login. Surat aku janji untuk pegawai awam dipetik daripada surat aku janji, dokumen pakej setuju terima (pstt), guru & pensyarah, suruhanjaya perkhidmatan pelajaran ⤤ Menjaga ketenteraman dan kesejahteraan sekolah 3. Semoga perkongsian ini memberi manfaat kepada semua.

Related : Surat Aku Janji Guru / SURAT AKU JANJI PELAJAR / Secara tetap, sementara dan kontrak yang berkhidmat dengan kerajaan persekutuan, negeri, badan berkanun (persekutuan dan negeri) dan kuasa tempatan..